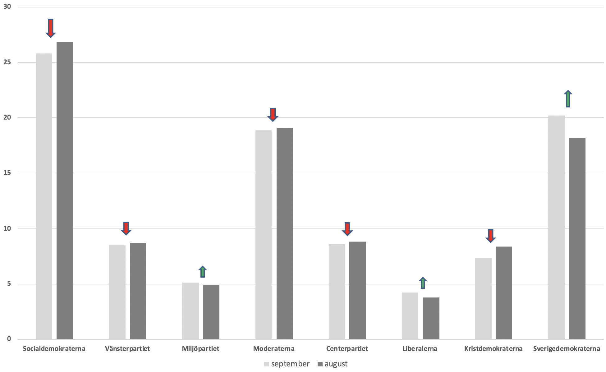
Det er det beste resultatet noen gang for SD i en Sifo-måling.
Sifosjef Toivo Sjörén mener det gode resultatet for SD handler om debattene om de mange skyteepisodene og mordene i Sverige. «Ser man på hvor velgerne mener SD har en sterk posisjon, så er det nettopp i slike spørsmål,» sier Sjörén til SvD.
Han viser også til det faktum at SD ikke ble invitert da samtlige andre partier i Riksdagen ble invitert av Löfven-regjeringen for å diskutere hvordan gjengproblematikken kan løses. At SD nok en gang ble dyttet ut i den politiske kulden, anført av sosialdemokratene, fikk SD-leder Jimmie Åkesson i en kronikk i Aftonbladet til å beskylde «Lövfen for ikke å bry seg om en million velgere». Her het det bant annet:
Kritikken mot denne beslutningen har ikke latt vente på seg, og det mener vi er fullt forståelig. Ikke nok med at regjeringen nå åpent viser at de ikke klarer å løse problemene de selv har vært med på å skape med sin egen politikk, men de velger også ikke å invitere et av landets største partier og partiets 1,1 millioner velgere.
Alt i alt forsterker dette tesen om at Stefan Löfven og hans parti helt har mistet kontrollen, og ikke klarer å se alvoret i den situasjonen vårt samfunnet er i.
Den politiske kampen som har foregått over lang tid om å gjøre SD til et mest mulig (høyre)ekstremistisk parti, begynner å miste sin kraft. Som mange, i alle fall oss som ser Sverige fra utsiden, har sett over tid: det nytter ikke å bortforklare realitetene. De vil til slutt være så store at de ikke lar seg skjule. Men til gjengjeld har de da fått vokst seg så store, at tiltakene som må settes i verk blir tilsvarende «usmakelige». I et slikt politisk klima har SD, som har det sterkeste eierskapet til innvandringspolitikken i Sverige, alt å vinne. SD representerer den virkeligheten som vanlige folk opplever på gata. Å avvise SD blir således som å avvise mannen i gata.
Også Sjörén mener at nettopp avvisningen av SD tjener SD, og får støtte av Li Bennich-Björkman, professor i statsvitenskap ved Uppsala universitet. Men professoren synes ikke å glede seg så mye over SDs suksess.
– Det er over en femtedel som sympatiserer med SD, det er virkelig et høyt tall. De her målingene er hele tiden et tegn på misnøye mot det vi kaller de etablerte partienes troverdighet og legitimitet. SD er det partiet som oppfattes som mest ekstremt av riksdagspartiene, sier hun.
Tja, i så fall ser det ut som de fleste partiene mister troverdighet og legitimitet på denne målingen, mens den svenske befolkningen blir mer ekstrem.
Det er kanskje verdt å merke seg at Socialdemokraterna og Arbeiderpartiet nå er jevnstore, der de ligger rundt 25 prosent (S fikk 25,8 prosent i denne målingen og Ap fikk på nasjonalt nivå 24,8 prosent i det nylige kommune- og fylkestingvalget). Skulle vi nå tillate oss å sammenligne SD og FrP, er altså SD i øyeblikket 12 prosentpoeng høyere enn FrP (20,2 versus 8,2 prosent).
